1. Perkenalan
Serbuk phentolamine mesylate adalah - Penghambat reseptor, dengan menghalangi - Reseptor dan agonis tidak langsung - Reseptor dapat dengan cepat melebarkan pembuluh darah perifer, secara signifikan mengurangi resistensi pembuluh darah perifer, meningkatkan volume darah perifer dan meningkatkan mikrosirkulasi. Produk ini memiliki efek menarik pada jantung, meningkatkan kontraktilitas miokard, mempercepat denyut jantung dan meningkatkan curah jantung.
Titik Leleh: 180-182 derajat
Titik didih: 551 derajat pada 760 mmHg
Titik Nyala: 287 derajat
Larut dalam air: 50 mg/mL

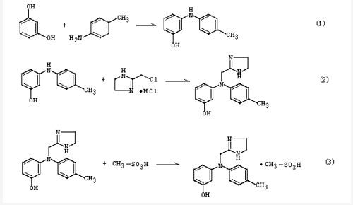
2. Diagram Alir

3. Standar Kualitas
Barangs | Standar | Hasil
|
Penampilan | Bubuk putih atau hampir kristal | Sesuai |
Identifikasi | IR. UV. Nilai RF | Sesuai |
Kehilangan pengeringan | Tidak lebih dari 0,5 persen | 0.17 persen |
Residu saat pembakaran | Tidak lebih dari 0.1 persen | 0.016 persen |
Sulfat | Tidak lebih dari 0.2 persen | 0.006 persen |
kemurnian kromatografi | Total: tidak lebih dari 1.0 persen | 0.28 persen |
Individu | tidak lebih dari 0,5 persen | 0.17 persen |
Pelarut residu | Etil alkohol: tidak lebih dari 0,5 persen | 0.19 persen |
Etil asetat: tidak lebih dari 0,5 persen | 0.17 persen | |
Pengujian kadar logam | 98.0-102.0 persen | 99,7 persen |
Kesimpulan | Sesuai dengan USP42 |
4.Kromatogram

5. Metode Pengujian:

6.Fungsi
1). Serbuk phentolamine mesylate adalah penghambat A-receptor (A1, A2) non-selektif kerja pendek, yang dapat memusuhi efek epinefrin dan norepinefrin dalam sirkulasi darah, melebarkan pembuluh darah dan mengurangi resistensi pembuluh darah perifer.
2). Ini dapat memusuhi efek katekolamin dan digunakan dalam diagnosis dan pengobatan pheochromocytoma, tetapi memiliki sedikit efek pada tekanan darah orang normal atau pasien dengan hipertensi esensial.
3). Ini dapat mengurangi resistensi pembuluh darah perifer, mengurangi afterload jantung, mengurangi tekanan diastolik akhir ventrikel kiri dan tekanan arteri pulmonalis, dan meningkatkan curah jantung. Ini dapat digunakan untuk mengobati gagal jantung. Karsinogenisitas, mutagenisitas, dan toksisitas reproduksi
7.Aplikasi
Serbuk phentolamine mesylate banyak digunakan dalam industri farmasi.
Ini juga banyak digunakan untuk memproduksi palet:
Tablet: oral, 40mg (1 tablet) setiap kali, 30 menit sebelum berhubungan seks, paling banyak sekali sehari. Dosis dapat disesuaikan menjadi 60mg (1 setengah tablet) sesuai kebutuhan dan toleransi, dan dosis maksimum yang dianjurkan adalah 80mg (2 tablet). Kapsul: Minumlah satu kapsul setiap menit sebelum melakukan aktivitas seks oral, dan minumlah tidak lebih dari sekali sehari.
Suntikan: biasa digunakan untuk orang dewasa: (1) Tes fentolamin: injeksi intravena 5mg, atau 2,5mg terlebih dahulu, jika reaksinya negatif, kemudian 5mg, sehingga hasil positif palsu dapat dikurangi dan risiko penurunan tekanan darah dapat dikurangi berkurang.
(2) Untuk mencegah nekrosis kulit: tambahkan 10mg produk ini ke dalam setiap 1000ml larutan yang mengandung norepinefrin untuk infus sebagai tindakan pencegahan. Luapan norepinefrin telah terjadi. Gunakan 5-10mg produk ini ditambah 10ml injeksi natrium klorida untuk infiltrasi lokal. Metode buku kimia efektif dalam waktu 12 jam setelah luapan.
(3) Operasi Pheochromocytoma: 5mg intravena 1-2 jam sebelum operasi, 5mg intravena atau 0.5 - 1mg per menit selama operasi untuk mencegah pelepasan adrenalin dalam jumlah besar selama operasi tumor.
(4) Kurangi beban jantung pada gagal jantung: infus intravena 0.17-0.4mg per menit.
Dosis umum untuk anak-anak: (1) tes phentolamine: 1mg untuk injeksi intravena, 0.1mg/kg untuk berat badan, 3mg/m2 untuk luas permukaan tubuh, atau 3mg untuk injeksi intramuskular. (2) Operasi Pheochromocytoma: injeksi intramuskular atau intravena 1mg 1-2 jam sebelum operasi, atau {{10}}.1mg/kg berat badan atau 3mg/m2 luas permukaan tubuh, yang dapat diulang jika perlu; Injeksi intravena 1mg selama operasi juga bisa menjadi 0,1mg/kg berat badan atau 3mg/m2 luas permukaan tubuh.

8. Studi Stabilitas dan Keamanan
Kami melakukan banyak studi stabilitas dan keamanan tentang produk ini, menurut data stabilitas yang dipercepat dan jangka panjang, ini menunjukkan karakteristik yang stabil; menurut studi klinis hewan, itu menunjukkan hasil yang aman.
9. Sertifikasi
KONO CHEM CO.LTD telah disertifikasi oleh ISO9001:2015 oleh badan sertifikasi resmi.

10.Klien Utama
KONO CHEM CO.LTD telah menjadi anggota penting dalam memasok asam folat ke manufaktur makanan, farmasi dan kosmetik yang terkenal di dunia.

11.Pameran
Kami selalu menghadiri pameran seperti CPHi, FIC, Vitafoods, Supplyside west dan memperluas pasar kami di penjuru dunia, dan sangat berharap orang-orang di dunia bisa mendapatkan keuntungan dari KONO CHEM CO.LTD.

12. Umpan Balik Pelanggan
Kami memiliki gudang USA di Miami dan gudang UE di Italia, kami memiliki toko online di Alibaba, yang dapat menjamin kenyamanan transaksi, strategi ini juga disambut baik oleh pelanggan kami.

Tag populer: bubuk phentolamine mesylate 65-28-1, produsen, pemasok, pabrik, grosir, beli, harga, terbaik, grosir, untuk dijual














